Critical Action Needed
Critical Action Needed
Children injured in class as violent storm ripped off roofs
Children injured in class as violent storm ripped off roofs
We need to urgently rebuilt/restore Ebenezer School in Gutu, Masvingo, Zimbabwe, which was recently destroyed by a violent storm. Classrooms and teachers` homes had their roofs blown off, water damage to the children’s books, furniture and personal belongings of the teachers.
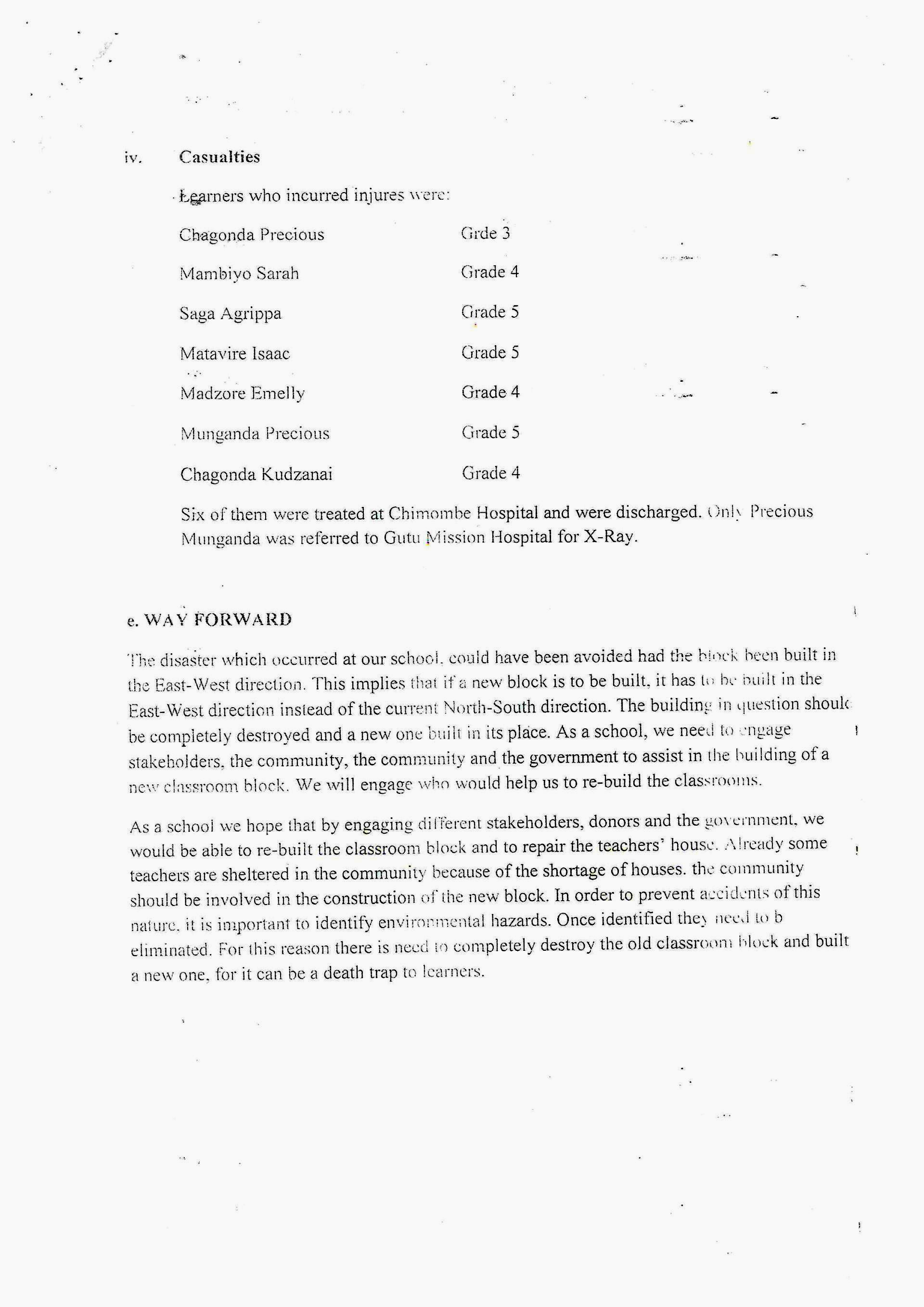
Letter from the Ebenhaezer primary school Headmaster
Please click on the scanned images below to read the report from the headmaster. Seven Children were injured during the storm.
The initial quote includes asbestos which we will ensure is not used. The money required according to this initial quote is $9,709.45. It is very likely that the actual cost will be higher to ensure a safe repair is undertaken (ie no asbestos is used). We will continuously update this page as new quotations and further details are obtained.
Challenge
Challenge
The children currently have nowhere to learn and the teachers have no homes, they are currently relying on the generosity of residents.
To help tranform the lives of these children, we urgently need your donations to raise:
- £1,500 for the repair of one of the classroom's roofs, and the teachers accommodation
- £8,500 to completely rebuild the other classroom block
- £1,500 for the repair of one of the classroom's roofs, and the teachers accommodation
- £8,500 to completely rebuild the other classroom block








